基于材料挤出3D打印的生物活性智能支架及其在骨组织工程中的应用
基于材料挤出增材制造技术的智能支架的3D打印为使用微创技术治疗不规则骨缺损提供了一种新的解决方案。然而,该领域的发展受到可打印形状记忆材料及功能性生物医学支架缺乏的限制,这些支架需具备高形状恢复性且与人体骨骼特性相匹配。近期,【Additive Manufacturing】发表了一篇题为“Material extrusion 3D printing of bioactive smart scaffolds for bone tissue engineering”文章,研究提出了一种新型生物活性智能支架的3D打印方法,所构建的支架具有可调结构、机械性能和形状记忆功能。
长丝的制备和表征
3D打印长丝的制备过程包括在双螺杆混合器中共混TPU和PCL聚合物,然后使用台式挤出机将混合物挤出形成长丝(图1)。使用数字卡尺进行直径测量,并使用扫描电子显微镜(SEM)成像技术验证,结果显示可制备出适用于熔融沉积建模(FDM)打印的目标直径(1.75毫米)的长丝。UC混合物中的PCL具有低熔点(58°C),而TPU具有高挤出熔点(150-220°C)。挤出过程中,加热器温度设定在TPU的加工温度范围内,以确保适当的共混物流动性。

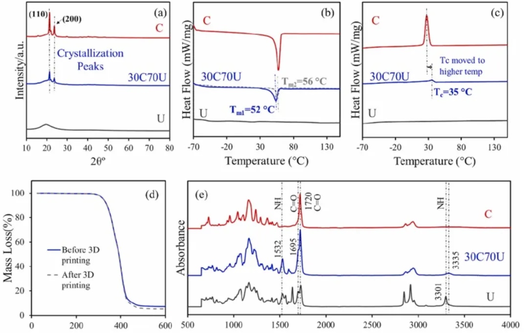
通过XRD、DSC、TGA和傅里叶变换红外(FTIR)光谱技术,表征了开发的UC长丝的结晶度、热性能和混溶性(图2)。在物理交联的形状记忆聚合物中,形状固定率主要由结晶相决定,而形状恢复率则受非晶相的影响。因此,结晶相和非晶相的共存是聚合物材料展现形状记忆特性的关键因素。XRD结果表明,所开发的UC长丝具有半结晶特性。在UC聚合物中,分别在21°和24°处检测到了两个不同的结晶峰,分别对应PCL聚合物中的(110)和(200)晶面的衍射图案。此外,对挤出的长丝进行了DSC分析,温度范围为-70°C至150°C,以研究UC共混物的热性能,包括玻璃化转变、熔融温度和结晶行为。TGA分析结果表明,所开发的长丝在300°C以下的温度下稳定,不发生热降解,这意味着该长丝在低于300°C的打印温度下可以可靠使用,不会发生降解或分解。

UC长丝的可打印性
在基于挤出的增材制造(AM)技术中,3D打印结构的质量与挤出长丝的粘度及喷嘴挤出的材料量密切相关。为确保打印质量,需精确设计打印参数,特别是喷嘴温度和挤出乘数(EM)。不准确的EM水平会导致挤出不足、过度挤出和尺寸不准确等缺陷,影响打印部件的最终质量和功能。
研究通过打印20毫米长的平行单线来评估UC长丝的可打印性,同时变化喷嘴温度和EM值(图3)。实验发现,喷嘴温度对打印结构的可挤出性、形状一致性和稳定性有显著影响。当喷嘴温度为190°C时,不粘层成为主要问题,导致打印质量不佳。提高喷嘴温度可改善材料熔化和流动特性,但过高温度(如220°C)与高EM水平结合时会导致过度挤出和材料聚集。在210°C下打印的样品(EM值为0.9和1)以及在200°C下打印的样品(EM值为1)均表现出良好质量。值得注意的是,这些条件下打印的线条支柱直径无显著差异。此外,200°C和210°C下保持EM=1可获得最佳结果,产生高质量线条。因此,确定210°C为最佳喷嘴温度,EM值为1为最佳挤出倍增器水平。SEM图像进一步证实了这些优化条件下挤出支柱的高质量。

支架制造
在组织工程中,支架的结构和构造对确定其功能、机械性能及医疗保健应用至关重要。使用 SEM 技术检查支架的微观结构,包括孔径、形状、分布和互连性(图4)。SEM图像展示了直线、三角形和螺旋状设计的多孔结构,且所有支架均表现出均匀且互连的孔分布及出色的结构完整性。随着填充百分比的增加,FDM打印支架的孔径减小,结构更致密。相反,低填充百分比导致结构不太致密,孔径较大。然而,使用不同模式但填充密度相同的支架孔径无显著差异。
足够高的孔隙率和合适的孔径对于支架内的细胞增殖、分化和组织生长至关重要。尽管骨长入的最佳孔径存在争议,但孔径在500至1200 µm范围内的支架已表现出优异的骨诱导特性。填充密度为30%、40%和50%的所有设计模式支架产生的孔径均在此范围内,而填充密度为20%的支架孔径较大,可能降低成骨作用。因此,具有较高填充密度的支架孔径范围(500–1160 µm)更适合促进成功的骨再生。

UC支架的力学性能
支架的机械强度对于支持组织生长和再生至关重要,FDM打印过程中使用的细丝成分、填充图案和填充密度对支架的机械性能有显著影响。所有UC支架的主要失效机制是屈曲,归因于高比例的TPU,TPU作为高弹性材料,在压缩力作用下发生显著变形,导致屈曲而非脆性断裂(图5)。XRD结果表明,UC长丝具有半结晶结构,PCL和TPU相融合,降低了整体结晶度并增强了弹性。TPU的高弹性和回弹性使支架能够广泛变形而不发生断裂,表明这种材料适用于骨组织工程应用。在所有支架设计中,较高的填充密度具有更大的弹性,使支架在承受压缩时更加耐压。在不同填充模式的支架,螺旋图案的支架表现出优越的机械性能。

FDM打印支架的形状记忆性能
形状记忆测试的结果如图6 所示。形状记忆行为受PCL的结晶区域和TPU的非晶态相之间的相互作用控制。TPU相的弹性和柔韧性对于形状恢复至关重要。PCL结晶域在变形时充当锚点,而TPU基质储存弹性能量,驱动支架恢复原始形状。XRD和DSC分析证实了PCL的结晶峰和TPU的加入导致的结晶度降低。形状记忆性能可以通过调整填充密度和支架结构来优化机械稳定性与恢复效率之间的平衡。填充模式和密度在支架恢复能力中起着重要作用。在相同填充密度下,螺旋图案的形状固定性低于直线图案,三角形图案次之。热机械试验表明,随着填充密度的增加,转变温度下降,致密的支架具有更好的机械强度和更低的转变温度恢复效率,这对于微创医疗应用至关重要。

支架的润湿性和细胞相容性
研究探讨了聚多巴胺(PDA)涂层对3D打印UC支架润湿性和细胞相容性的影响。PDA涂层显著提高了支架的亲水性。SEM结果显示,PDA涂层支架上的MG-63细胞表现出更好的扩散性。MTS测定结果表明,PDA涂层支架显著增强了细胞增殖,且PDA涂层支架上形成的钙化结节数量高于未涂层支架,表明其有利于成骨细胞分化。此外,EDS元素映射显示,PDA涂层支架表面成功形成了CaP生物矿化层,且元素密度更高。形状记忆测试证实,PDA涂层不会损害支架的形状记忆特性。因此,PDA涂层支架结合了形状记忆功能和增强的生物活性,为骨组织工程提供了有利的环境。

结论
该研究开发了由70% TPU和30% PCL制成的半结晶形状记忆长丝,用于FDM 4D打印具有可调结构、机械性能和形状记忆性能的多孔支架。研究评估了FDM打印参数对支架形态、机械性能和形状记忆性能的影响。SEM成像显示支架具有均匀的孔分布,且填充密度大于30%的支架适用于骨再生。力学测试表明,螺旋状图案的支架表现出最高的力学性能。所有支架的最大抗压强度与天然松质骨相当,范围为1.73到14.93 MPa。热机械循环测试表明,填充图案和密度对形状记忆性能有重要影响,螺旋、直线和三角形图案在52°C的转变温度下分别具有98%、91.1%和89.5%的形状恢复率。聚多巴胺涂层未影响形状记忆性能,但提高了支架的亲水性和细胞增殖。总体而言,该研究为设计可调机械强度多孔形状记忆支架提供了新方向,形状记忆性能在骨缺损再生治疗中具有潜在的应用。
(责任编辑:admin)


创想三维全球旗舰店开出生
香港大埔火灾牵动人心,创
铂力特确认参与中国航发自
登录福布斯榜单!创想三维
创想三维荣膺国家级单项冠
Protolabs 2025 Q3创收新
创想三维618大促
喜讯:创想三维荣
创想三维3D打印全
创想三维焕新升级
创想三维捐赠10万
HALOT-MAGE PRO荣
