华科大朱锦涛、张连斌教授团队《AFM》:超分子胶体复合物3D打印
时间:2024-07-27 13:09 来源:高分子科技 作者:admin 阅读:次
具有3D几何形状的结构色物体在光学设备、传感、定制化装饰等领域具有广泛的应用前景。目前3D结构色物体的制备流程繁琐,成型后通常需求后处理产生结构色。一步实现结构色的直接生成和三维结构的成型仍存在挑战。
近期,华中科技大学化学与化工学院朱锦涛、张连斌教授团队在3D结构色物体制备方面取得了进展。他们提出了一种通过墨水直写打印(Direct Ink Writing, DIW)的方式,将由胶体粒子与聚合物组成的超分子胶体复合物直接打印一步构筑具有3D结构的结构色物体的方法(图1)。该研究中,动态可逆的超分子相互作用的引入起到重要作用:i. 保证高体积分数的胶体粒子在聚合物基质中的均匀分散,从而有效保证结构色的直接产生;ii. 赋予超分子胶体复合物满足DIW打印的流变性需求(触变性、剪切变稀、合适的屈服应力);iii. 赋予3D结构色物体可回收、可修复的特性,满足定制化的需求,减少原材料的损耗;iv. 3D结构色物体的构筑可拓展到其他常用聚合物和胶体粒子的材料体系。该工作以“Supramolecular 3D Printing Enabling One-Step Generation of Healable and Recyclable Structurally Colored Objects”为题发表在《Advanced Functional Materials》上,文章的通讯作者是张连斌教授,第一作者是华中科技大学博士生胡振。该研究受到国家自然科学基金(52373075)和中央高校基本科研业务费 (HUST: 5003013129)资助。
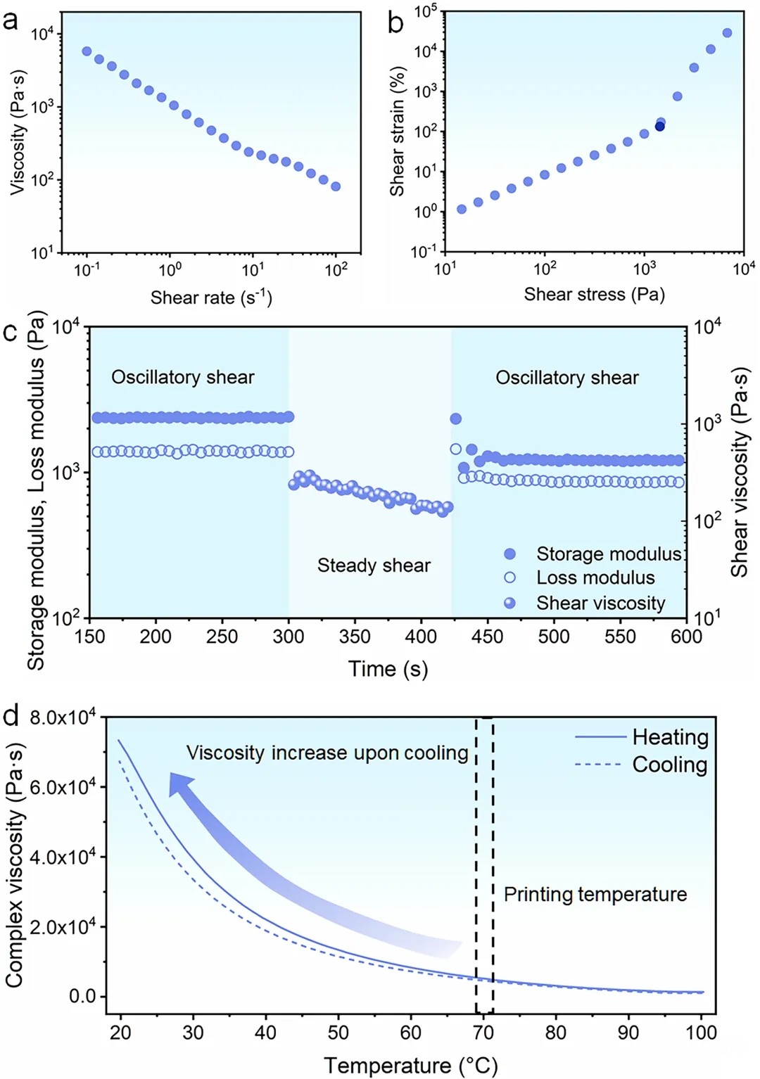
作者通过将聚乙烯亚胺(PEI)与二氧化硅胶体粒子复合构筑超分子胶体复合物,通过DIW直接打印获得具有复杂3D结构的结构色物体。超分子胶体复合物表现出满足DIW打印的流变性需求:剪切变稀保证超分子胶体复合物打印过程中的连续挤出;合适的屈服应力保证复合物的层层堆叠构筑3D结构而不变形;触变性保证超分子胶体复合物在挤出后能够恢复固体流变行为;合适的打印温度保证超分子胶体复合物能够在较低的应力需求下连续挤出(图2)。
基于超分子相互作用的多样性和可调性,该研究的方法能够适用于不同的聚合物与胶体粒子体系,用于构筑3D结构色物体(图3)。超分子相互作用的动态可逆的特性赋予3D结构色物体可修复、可回收的性质,可以满足定制化结构的构筑需求;打印获得的的3D结构色物体可以回收重新获得超分子胶体复合物,或闭环回收获得相应的聚合物与胶体粒子(图4)。
原文链接:
https://onlinelibrary.wiley.com/doi/full/10.1002/adfm.202410921
近期,华中科技大学化学与化工学院朱锦涛、张连斌教授团队在3D结构色物体制备方面取得了进展。他们提出了一种通过墨水直写打印(Direct Ink Writing, DIW)的方式,将由胶体粒子与聚合物组成的超分子胶体复合物直接打印一步构筑具有3D结构的结构色物体的方法(图1)。该研究中,动态可逆的超分子相互作用的引入起到重要作用:i. 保证高体积分数的胶体粒子在聚合物基质中的均匀分散,从而有效保证结构色的直接产生;ii. 赋予超分子胶体复合物满足DIW打印的流变性需求(触变性、剪切变稀、合适的屈服应力);iii. 赋予3D结构色物体可回收、可修复的特性,满足定制化的需求,减少原材料的损耗;iv. 3D结构色物体的构筑可拓展到其他常用聚合物和胶体粒子的材料体系。该工作以“Supramolecular 3D Printing Enabling One-Step Generation of Healable and Recyclable Structurally Colored Objects”为题发表在《Advanced Functional Materials》上,文章的通讯作者是张连斌教授,第一作者是华中科技大学博士生胡振。该研究受到国家自然科学基金(52373075)和中央高校基本科研业务费 (HUST: 5003013129)资助。
图1 超分子3D打印策略一步构筑具有三维结构的结构色物体
作者通过将聚乙烯亚胺(PEI)与二氧化硅胶体粒子复合构筑超分子胶体复合物,通过DIW直接打印获得具有复杂3D结构的结构色物体。超分子胶体复合物表现出满足DIW打印的流变性需求:剪切变稀保证超分子胶体复合物打印过程中的连续挤出;合适的屈服应力保证复合物的层层堆叠构筑3D结构而不变形;触变性保证超分子胶体复合物在挤出后能够恢复固体流变行为;合适的打印温度保证超分子胶体复合物能够在较低的应力需求下连续挤出(图2)。
图2 超分子胶体复合物的流变性
基于超分子相互作用的多样性和可调性,该研究的方法能够适用于不同的聚合物与胶体粒子体系,用于构筑3D结构色物体(图3)。超分子相互作用的动态可逆的特性赋予3D结构色物体可修复、可回收的性质,可以满足定制化结构的构筑需求;打印获得的的3D结构色物体可以回收重新获得超分子胶体复合物,或闭环回收获得相应的聚合物与胶体粒子(图4)。
图3 超分子3D打印策略的通用性
图4 3D结构色物体的定制性、重复打印性和闭环回收
原文链接:
https://onlinelibrary.wiley.com/doi/full/10.1002/adfm.202410921
(责任编辑:admin)
最新内容
热点内容


3D打印可生物降解支架为改
MagNEO:3D打印将帮助欧洲
萨博联合Divergent研发5米
REM与尼康增材签署谅解备
营收1.37亿美元微降,Stra
IREC首次推出高效陶瓷氢燃
突破性生物3D打印
迪拜LEAP 71公司
3D生物打印构建内
《Small Science
