4D打印高强度形状记忆聚合物
时间:2024-09-06 11:01 来源:EFL生物3D打印与生物制造 作者:admin 阅读:次
与其他能用于4D打印的软材料相比,形状记忆聚合物(SMP)具有更高的刚度,并且能与各种打印技术兼容。其中,光固化SMP与投影式光固化打印技术兼容,可以打印具有复杂几何形状且高分辨率的SMP结构。然而,光固化SMP在机械性能方面存在极大的局限性,这限制了其应用范围。
近期,来自南方科技大学的葛锜团队、西北工业大学的张彪团队、浙江大学的曲绍兴团队合作提出了一种具有优异机械性能且可光固化的材料体系,该材料体系具有极强的的形变性能、抗疲劳性,并与DLP打印方法兼容,能够实现高分辨率、高度复杂的3D结构制造,其在加热时可以表现出较为明显的形状记忆能力(图1)。相关论文“Mechanically Robust and UV-Curable Shape-Memory Polymers for Digital Light Processing Based 4D Printing”发表于“Advanced Materials”期刊上。

首先,研究人员提出了一种具有优异机械性能的SMP材料体系(tBA-AUD SMP),该材料体系主要由丙烯酸叔丁酯(tBA)和脂肪族聚氨酯二丙烯酸酯(AUD)组成。为了探索影响tBA-AUD SMP材料体系粘度和光聚合程度的因素,实验人员通过改变AUD的含量对其进行了打印测试(图2)。

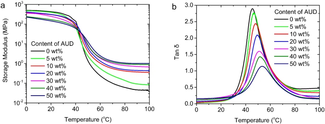
接着,为了研究tBA-AUD SMP的热机械性能,实验人员对不同AUD含量的tBA-AUD SMP进行了动态力学分析,从而确定了其流变学温度扫描结果和玻璃化转变温度(Tg)(图3)。

然而,能够使tBA-AUD SMP转变为高弹性状态的Tg要比理论的高30 °C。为了探索Tg升高的原因,实验人员将AUD含量从0wt%增加到50 wt%,从而得知AUD含量对tBA-AUD SMP拉伸测试时的迟滞行为和残余应变有非常大的影响。随后,实验人员进行了形状记忆和耐疲劳性试验,以检查AUD含量对tBA-AUD SMP形状记忆行为的影响以及该材料优异的机械重复性和耐疲劳性(图4)。

为了探索tBA-AUD SMP高变形性和抗疲劳性的具体原因,实验人员使测试件在80℃下进行负载变形,再使其在20℃下释载定型,最后加热测试件可自然恢复到初始状态。另外,实验人员进行了凝胶渗透色谱测试、傅里叶红外光谱等一系列测试,从而将其高变形性和抗疲劳性归因于AUD交联剂的高分子量和氢键的综合效应(图5)。

最后,为了证明凝胶状态下的tBA-AUD SMP具有极强的形变能力,实验人员对比了使用不同3D打印技术制造出的SMP测试件的断裂伸长率(图6),并利用DLP技术制造出“L”型梁,将其弯曲成“I”型和“U”型后,加热至80℃可恢复原状(图7)。


综上所述,实验人员设计了一种可光固化的高强度形状记忆聚合物(tBA-AUD SMP)材料体系,其具有高形变性及优异的抗疲劳性能,能与DLP打印方法兼容,该材料体系能够实现高分辨率、高度复杂3D结构的制造,其在加热时可发生明显的形状变化。tBA-AUD SMP在航空航天、智能家具和软机器人等领域具有巨大的应用潜力。
文章来源:https://doi.org/10.1002/adma.202101298
近期,来自南方科技大学的葛锜团队、西北工业大学的张彪团队、浙江大学的曲绍兴团队合作提出了一种具有优异机械性能且可光固化的材料体系,该材料体系具有极强的的形变性能、抗疲劳性,并与DLP打印方法兼容,能够实现高分辨率、高度复杂的3D结构制造,其在加热时可以表现出较为明显的形状记忆能力(图1)。相关论文“Mechanically Robust and UV-Curable Shape-Memory Polymers for Digital Light Processing Based 4D Printing”发表于“Advanced Materials”期刊上。

图1 SMP的DLP打印测试
首先,研究人员提出了一种具有优异机械性能的SMP材料体系(tBA-AUD SMP),该材料体系主要由丙烯酸叔丁酯(tBA)和脂肪族聚氨酯二丙烯酸酯(AUD)组成。为了探索影响tBA-AUD SMP材料体系粘度和光聚合程度的因素,实验人员通过改变AUD的含量对其进行了打印测试(图2)。

图2 tBA-AUD SMP前驱体溶液的特征和打印测试
接着,为了研究tBA-AUD SMP的热机械性能,实验人员对不同AUD含量的tBA-AUD SMP进行了动态力学分析,从而确定了其流变学温度扫描结果和玻璃化转变温度(Tg)(图3)。

图3 不同AUD浓度下的tBA-AUD SMP的热力学性能分析
然而,能够使tBA-AUD SMP转变为高弹性状态的Tg要比理论的高30 °C。为了探索Tg升高的原因,实验人员将AUD含量从0wt%增加到50 wt%,从而得知AUD含量对tBA-AUD SMP拉伸测试时的迟滞行为和残余应变有非常大的影响。随后,实验人员进行了形状记忆和耐疲劳性试验,以检查AUD含量对tBA-AUD SMP形状记忆行为的影响以及该材料优异的机械重复性和耐疲劳性(图4)。

图4 tBA-AUD SMP的热机械性能测试
为了探索tBA-AUD SMP高变形性和抗疲劳性的具体原因,实验人员使测试件在80℃下进行负载变形,再使其在20℃下释载定型,最后加热测试件可自然恢复到初始状态。另外,实验人员进行了凝胶渗透色谱测试、傅里叶红外光谱等一系列测试,从而将其高变形性和抗疲劳性归因于AUD交联剂的高分子量和氢键的综合效应(图5)。

图5 tBA-AUD SMP拉伸性的变形机制
最后,为了证明凝胶状态下的tBA-AUD SMP具有极强的形变能力,实验人员对比了使用不同3D打印技术制造出的SMP测试件的断裂伸长率(图6),并利用DLP技术制造出“L”型梁,将其弯曲成“I”型和“U”型后,加热至80℃可恢复原状(图7)。

图6 高变形tBA-AUD SMP及其在智能家居中的应用

图7 演示tBA-AUD SMP在航空航天中的应用
综上所述,实验人员设计了一种可光固化的高强度形状记忆聚合物(tBA-AUD SMP)材料体系,其具有高形变性及优异的抗疲劳性能,能与DLP打印方法兼容,该材料体系能够实现高分辨率、高度复杂3D结构的制造,其在加热时可发生明显的形状变化。tBA-AUD SMP在航空航天、智能家具和软机器人等领域具有巨大的应用潜力。
文章来源:https://doi.org/10.1002/adma.202101298
(责任编辑:admin)
最新内容
热点内容


3D打印可生物降解支架为改
MagNEO:3D打印将帮助欧洲
萨博联合Divergent研发5米
REM与尼康增材签署谅解备
营收1.37亿美元微降,Stra
IREC首次推出高效陶瓷氢燃
突破性生物3D打印
迪拜LEAP 71公司
3D生物打印构建内
《Small Science
