北科大、北理工等单位顶刊:揭示电弧增材制造TA15合金往复滑动磨损机制的温度效应
TA15合金(Ti-6.5Al-2Zr-1Mo-1V)是一种典型的航空航天结构材料,作为近α钛合金,在飞机发动机的关键结构件和轴承部件制造中有广泛应用。随着对钛合金部件需求趋向大型化、轻量化和复杂化,传统制造方法受限,而电弧增材制造(WAAM)技术能满足高性能、大型复杂部件的高效低成本生产需求。然而,TA15合金在实际应用中会遭受高温和机械振动的磨损损伤,对材料的性能和寿命构成挑战。

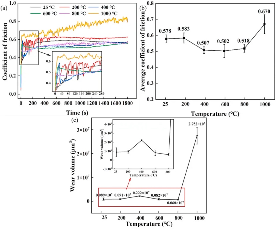
近日,北京科技大学、北京理工大学同核与辐射安全中心在工程技术领域顶刊Wear上发表了题为“Unveiling the temperature effect on reciprocating sliding wear mechanism of a TA15 alloy fabricated by wire-arc additive manufacturing”的研究成果。该研究研究了由电弧增材制造技术生产的TA15合金在高温下受往复滑动磨损的机制,包括温度对摩擦系数(COF)、磨损损失、氧化和微观结构演变的影响。最后,根据实验结果建立了不同温度下的磨损寿命预测模型。












关键结论
(1)摩擦系数(COF)和磨损损耗的变化受温度的影响很大。随着温度的升高,由于稳定氧化层的形成速度加快,COF 很快进入稳定期;平均 COF 先减小后增大。同时,磨损量在800°C以下先增加然后减少,但在1000°C时达到最大值。这是由于氧化磨损碎片的形成和清除与真正高温下的相变之间存在竞争。
(2)Ft-D曲线随时间的变化受温度极大影响。在低温时,Ft-D曲线随时间从准平行四边形变为封闭线。在中温下,Ft-D曲线随时间保持为准纺锤形。在高温下,Ft-D曲线随时间保持为准平行四边形。随着温度的升高,Ft-D曲线趋于近似平行四边形,由于氧化层的润滑作用,接触面更倾向于相对滑动。然而,当温度升高到1000°C时,由于氧化层过度剥离,相对滑动减弱。
(3)氧化层中裂纹形态受温度的影响很大。随着温度的升高,裂纹形态从随机分布的孔隙变为与滑动方向平行的剥离裂纹,这是由于热应力的增加和氧化层的脆性所致。
(4)磨损寿命模型受温度影响很大。经典的氧化磨损模型适用于低温。然而,在中高温下由于氧化速率增加和氧化层形成与分层的动态变化,它不再适用。通过引入耗散能量和分层系数来修正中高温下的磨损寿命模型,以准确预测磨损体积。
通讯作者
郭跃岭,博士毕业于北京航空航天大学(德国马克斯普朗克研究所联合培养)。现任北京理工大学机械与车辆学院长聘副教授(特别研究员)、博士生导师、制造工程系副主任,从事金属熔丝增材制造技术与智能装备研究。曾获杭州青山湖材料基因工程青年科学家奖、北京航空航天大学优秀博士学位论文等奖励,主持国家自然科学基金、国防基础科研项目以及重点项目课题、军科委JCJQ子课题等科研项目,以第一/通讯作者在Virtual and Physical Prototyping等国内外学术期刊发表学术论文40余篇,受邀在材料基因工程高层论坛、第六届全国增材制造青年科学家论坛等会议担任分会场主席/邀请报告十余次,担任中国机械工程学会增材制造技术分会青年委员以及CJME: Additive Manufacturing Frontiers等期刊青年编委。
辛龙,北京科技大学国家材料服役安全科学中心副研究员。研究方向为工程结构材料的高温蠕变,材料的表面纳米化及表征,材料的腐蚀及流动加速腐蚀,工程结构材料的摩擦磨损及表面工程。
白欢欢,生态环境部核与辐射安全中心核与辐射安全审评工作人员。
论文引用
Baoli Guo, Yueling Guo, Donghua Tian, Yongming Han, Xiaofeng Zhang, Huanhuan Bai, Long Xin. Unveiling the temperature effect on reciprocating sliding wear mechanism of a TA15 alloy fabricated by wire-arc additive manufacturing:Wear562–563(2025) 205655
DOI:https://doi.org/10.1016/j.wear.2024.205655
(责任编辑:admin)


3D打印可生物降解支架为改
MagNEO:3D打印将帮助欧洲
萨博联合Divergent研发5米
REM与尼康增材签署谅解备
营收1.37亿美元微降,Stra
IREC首次推出高效陶瓷氢燃
突破性生物3D打印
迪拜LEAP 71公司
3D生物打印构建内
《Small Science
