哈尔滨工业大学(威海)宋晓国教授团队:激光增材制造实现高温下高强塑性高熵合金
近日,由哈尔滨工业大学威海校区材料科学与工程学院宋晓国教授领导的研究团队利用激光增材制造实现了高温下高强塑性高熵合金的制备。研究成果以“Multiscale plastic deformation in additively manufactured FeCoCrNiMox high-entropy alloys to achieve strength–ductility synergy at elevated temperatures”为题,发表在力学顶刊《International Journal of Plasticity》上。林丹阳副教授为该论文的第一作者,宋晓国教授为该论文的通讯作者。

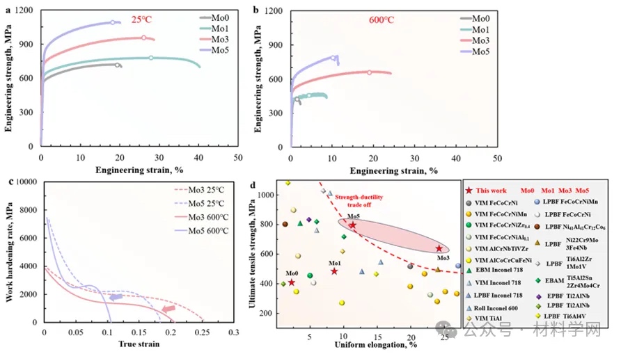
相比于传统合金,性能优异的高熵合金(HEAs)材料作为耐高温高强合金的替换性材料近年来受到航空航天产业的青睐。但目前激光增材制造最常用的FeCoCrNi高熵合金为单相FCC结构,沉淀强化作用的缺失导致其强度较低,而其衍生的沉淀强化高熵合金在变形过程中强化相与基体之间的协调变形能力较差,难以实现强度和塑性的良好兼容。在FeCoCrNi高熵合金中添加Mo元素从而改变基体的强塑性,并原位形成σ相可以提高基体强度且与基体形成良好的半共格关系,有效提高高熵合金力学性能。
本研究成功展示了 FCC FeCoCrNiMox HEAs 在室温和高温下的加工、微观结构和机械性能之间的关系。多尺度研究,包括实验观察和建模模拟,促进了对掺 Mo HEAs 变形机制的理解。这种理解基于关键的微观结构特征,如堆垛层错、孪晶、析出相和位错胞,验证了使用 LPBF 调控不同强化机制顺序激活的可行性。传统方法如 SEM、TEM 和 EBSD 无法捕捉高温下的微观结构和孪晶过程。然而,我们通过第一性原理计算和分子动力学模拟揭示了这一过程。通过结合实验观察和模拟,我们彻底分析了 HEA 合金的塑性变形机制。这种方法为新材料的开发提供了宝贵的见解。本研究为结构 HEAs 在实现协同高温机械性能方面提供了宝贵的见解,从而证明了其在科学和工程领域的意义和实用性。
经过 LPBF 处理的 FeCoCrNiMox 样品表现出近乎无缺陷的基体,并具有明显的位错胞。随着 Mo 含量的增加,σ 相析出增加,伴随着位错胞壁的锐化。结合第一性原理、分子动力学(MD)模拟和 TEM 观察,发现 FeCoCrNiMox HEAs 的堆垛层错能(SFE)随着 Mo 含量的增加而降低,并在高温下增加。因此,在室温下所有样品更容易发生孪晶。然而,在 600°C 时,由于 SFE 的增加,仅在 Mo3 样品中观察到孪晶。
向 FeCoCrNi 基体中添加 Mo 促进了固溶强化和析出强化。通过利用 LPBF 的多功能性和快速冷却特性,引入适量的 Mo可以实现精确的微观结构控制。这导致了多种强化机制的同时或顺序调控,包括位错强化、固溶强化、析出强化、异质变形诱导强化和孪晶。因此,FeCoCrNiMox HEAs(x = 0.3-0.5)在室温下表现出改进的成形性,并在高温下表现出增强的强度 - 延展性协同作用。
近年来,宋晓国教授团队深耕于增材制造高性能合金材料的开发、制备、性能评价等方面的研究,并取得了一系列原创性研究成果,为推动增材制造高性能合金的应用做出了重要贡献。







(责任编辑:admin)


芝加哥大学利用类似3D打印
3D打印零件失效致轻型飞机
解决医院3D打印合规难题:
初创公司Forte3D获25万美
中东巴林ASRY与意大利Robo
ARPA-H投资1.25亿美元用于
3D打印鞋履新纪元
美国空军2860万美
美国军工企业强强
美国斥资450万美
GoEngineer通过收
3D食品打印:烹
